A Direcção deseja a todos os associados, patrocinadores, amigos e população em geral uma Feliz Páscoa!
sábado, 26 de março de 2016
quarta-feira, 23 de março de 2016
Para comemorar os 500 anos da entrega do Foral, em Villar de Nojões; - o Município já tem programa?
obra de Mário Gonçalves Pereira que editamos no âmbito das comemorações da atribuição do Foral (2013) à venda na ADEP, no Posto de Turismo, no Hotel da Raiva, no Intermarché e Tabacaria Mil
Continuando o trabalho de divulgação que vínhamos fazendo,
recortamos do Plano de Actividades para 2016
“Comemorações
Para 2017 como já tínhamos proposto para 2013 defendemos uma maior envolvência e participação das pessoas, escolas e instituições num evento que comemore dignamente os 500 anos da entrega do Foral em Villar de Nojões a 6 de Maio de 1517. Este ano alguns passos devem ser dados nesse sentido.”
Para 2017 como já tínhamos proposto para 2013 defendemos uma maior envolvência e participação das pessoas, escolas e instituições num evento que comemore dignamente os 500 anos da entrega do Foral em Villar de Nojões a 6 de Maio de 1517. Este ano alguns passos devem ser dados nesse sentido.”
Em 2015 a comemoração
da entrega do foral em Nojões teve, uma vez mais, honras de caminhada, que nos
levou pelo caminho dos mineiros até Pejão e Choupelo.
Recortamos do Relatório de actividades de 2015.
“Caminhada do Foral - percorreu uma parte do caminho dos Mineiros que do Parque das Tílias, seguiu até
ao Largo do Conde, desceu a Emídio Navarro, Travessa dos Mineiros ao Cemitério,
seguiu pelo Fojo, antiga ponte do concelho,
Nojões (marco do Foral onde
assinalámos o 498.ºaniversário da entrega no Villar do Foral de Paiva a 6 de Maio de 1517) largo
da feira e centro histórico, Cruz da Carreira,
Sabariz, Carvalho Mau (Mamoa), Pejão Velho, Choupelo. O evento foi
aberto ao público e também foi participado pelos Escuteiros – agrupamento 1258
– Fornos. O evento foi muito divulgado e participado tendo como guia Mário
Gonçalves Pereira, que foi incansável na dissertação dos valores em presença,
designadamente no que ao das Minas do Pejão dizia respeito;”
extractos dos documentos aprovados na Assembleia Geral da ADEP no sábado passado.
sexta-feira, 18 de março de 2016
Parque das Tílias: proposta de parceria
transcrevemos do Plano actividades para 2016, a levar à Assembleia Geral próximo sábado
"A - Parque das Tílias
“Vida no Parque, Viva o Parque”
1. Protocolo para utilização pública do Parque das Tílias
A utilização pública do Parque exige a garantia solidária por parte das instituições públicas, também interessadas na sua manutenção, ao nível da limpeza dos espaços e dos W.C. , regas e podas. Um protocolo ou parceria continua, pensamos, a ser a forma para conseguir o objectivo: servir os interesses da associação, a população local e quem nos visita, valorizando o Parque, ao nível das estruturas e equipamentos, proporcionando asseio e bem estar, com segurança e sem vandalismo."
“Vida no Parque, Viva o Parque”
1. Protocolo para utilização pública do Parque das Tílias
A utilização pública do Parque exige a garantia solidária por parte das instituições públicas, também interessadas na sua manutenção, ao nível da limpeza dos espaços e dos W.C. , regas e podas. Um protocolo ou parceria continua, pensamos, a ser a forma para conseguir o objectivo: servir os interesses da associação, a população local e quem nos visita, valorizando o Parque, ao nível das estruturas e equipamentos, proporcionando asseio e bem estar, com segurança e sem vandalismo."
quinta-feira, 17 de março de 2016
VI - Actividade desenvolvida: Grupo do Linho de Real, da ADEP
participação em 2015 no Aeroporto F. Sá Carneiro
O Grupo vai estar presente na mostra de Vinho e produtos rurais de Real no fim de semana de 19 e 20 de março p.f.
d) O Grupo do linho de Real, da ADEP, participou no Aeroporto Francisco Sá Carneiro, numa iniciativa de promoção turística, organizada pela Turismo Portoenorte. Esta representação, que também poderia servir para comemorar dez anos de actividade, dá-nos o pretexto para manifestar a nossa estranheza e incompreensão dos critérios da organização do evento que beneficiou desta presença sem custos/cachés ou quaisquer encargos mas não permitiu que o Grupo se apresentasse com o seu nome…;
Transcrevemos do Relatório da actividade desenvolvida em 2015, documento que será discutido e votado na próxima assembeia
quarta-feira, 16 de março de 2016
Castelo de Paiva: dias dos Moinhos 2016
Nos dias 7, 9 e 10 a Casa dos Engenhos Dr. Justino Strecht Ribeiro, vai estar aberta para as escolas, instituições e grupos que se inscrevam para a visita aos moinhos do Parque das Tílias. Basta que nos enviem email para adeppaiva@gmail.com
No dia 9 e 10 de Abril; Rio Sardoura (Vila Verde, S. Martinho) - o moinho do Cabril estará aberto aos visitantes assim nos foi manifestado pelo seu proprietário sr. Justino Coelho.
No dia 9 oportunidade para, numa caminhada, conhecer a história e património do Couto Mineiro o rio Arda, seus moinhos, forno comunitário e fábrica do papel.
Veja programa da caminhada no cartaz e inscreva-se basta um email para adeppaiva@gmail.com
Feira do século XIX : actividade desenvolvida
a) Feira do século XIX: realizada a edição 2015 no 2.º domingo de Outubro; iniciativa que todos os anos leva milhares de
visitantes ao Parque das Tílias, este ano teve
a novidade da participação de um grupo de antigos mineiros, trajados a
preceito. A animação uma vez mais esteve
cargo do Rancho Folclórico de São Martinho, do Grupo de Concertinas do
Museu de Cucujães e também do nosso Grupo do Linho de Real - da ADEP, este a fazer uma demonstração das tarefas da confecção do
linho. Aberto um novo espaço de exposições permanentes, dando novo folgo ao tema "Encontro com as Minas do Pejão". Este ano também foi aberta uma nova frente de apoio à feira com uma casa
comercial a patrocinar o evento;
(o documento da actividade desenvolvida, orçamento e plano de actividades para o corrente ano e contas de gerência de 2015, vão ser discuidos e votados na próxima assembleia, sábado, na sede da ADEP.
(o documento da actividade desenvolvida, orçamento e plano de actividades para o corrente ano e contas de gerência de 2015, vão ser discuidos e votados na próxima assembleia, sábado, na sede da ADEP.
segunda-feira, 14 de março de 2016
IV - Actividade a desenvolver
Transcrevemos
do Plano de Actividades para 2016, a discutir e votar na próxima sessão da
Assembleia!
“7- Paleontologia e Geologia
Esta área é um recurso
que não devemos desprezar considerada a possibilidade do território do concelho
vir no futuro próximo a integrar a área de intervenção do Geoparque/Arouca
a) –
Continuamos a trabalhar na inventariação de locais de antigas minas de
Exploração Mineral, que iniciamos em 2012 com a orientação d e Investigador
e Professor da FCUP; Alguns locais necessitam de sinalização
e informação, outros sítios necessitam
de colocação de protecções às pessoas e animais.
b) - Pretendemos dar mais divulgação aos fósseis do Couto Mineiro do Pejão onde
se incluem os que nos foram doados por António Patrão e que estão já
classificados por Mestre da FCUP, alguns assinalados de muitos raros; admitindo
a perspectiva de receber e expor mais exemplares urge reorganizar espaços e
proceder a pequenos melhoramentos nas instalações.”
sábado, 12 de março de 2016
III . actividade desenvolvida e propostas apresentadas
Em defesa do património construído e de memória...
Estivemos lá...
"a) Património edificado e de memória a Santo
António. Este ano tendo coincidido com um sábado o dia de Santo António
organizamos uma caminhada, com saída do Parque das Tílias, pelos locais
onde há património edificado e de memória
das famílias do Conde e de Santo António. Uma oportunidade para
constatar e dar a conhecer o estado de degradação, vandalismo e até de saque em
que se encontra o património construído.
Não tivemos acesso à Casa e Quinta da
Boavista. A iniciativa contou também com a participação do Grupo de Escuteiros
1258 de Fornos. O evento terminou no Parque das Tílias com um
convívio/sardinhada tendo-se seguido a habitual apanha de flor de tília, evento
também aberto à população;"
(transcrito do relatório das actividades em 2015 a ser discutido e votado na próxima assembleia)
E temos tido propostas para melhorar...
Pias dos Mouros, Vegide
"c) – PIAS
DOS MOUROS – continuamos a insistir na necessidade de reclassificar alguns
sítios. Insistir na sinalização, estudo protecção e divulgação de outros.
Mantemos disponibilidade para colaborar
com União de Freguesias de Sobrado e Bairros e Câmara Municipal na construção de uma zona de protecção e de interpretação às Pias dos
Mouros (à imagem do que se fizemos em Carvalho Mau em 2011 e no Marmoiral
nos anos 90)."
(transcrito do Plano de actividades para 2016 a ser discutido e votado na próxima assembleia)
sexta-feira, 11 de março de 2016
II - actividade desenvolvida: visita ao Aterro de Rio Mau/Canelas
transcrevemos do Relatório de Actividades (a ser presente à próxima Assembleia Geral)
c) Visita ao Aterro de Rio Mau/ Canelas e Serra da Boneca. Tivemos a oportunidade de visitar, admirar e conhecer melhor a Serra, aspectos ambientais e também a realidade e perigosidade decorrente da instalação e funcionamento do aterro sanitário. Na sequência desta visita fomos recebidos na sede da Ambisousa , numa audiência que nos foi concedida pelo seu administrador, onde nos foi garantida a perfeita e plena laboração perante algumas dúvidas relativamente à monitorização de escorrências, funcionalidade dos piseómetros e falta de triagem da receita. Foi solicitada autorização para uma visita ao interior das Instalações a agendar em 2016;
quinta-feira, 10 de março de 2016
actividade desenvolvida em 2015
transcrevemos do Relatório das Actividades da ADEP em 2015 (ver na página anexa)
a) O pedido de classificação da “Ponte
Centenária de Pedorido” foi este ano reencaminhado para a Câmara.
A” Ponte Velha”/centenária (rodo-ferroviária) de Pedorido, para poder
ter estatuto legal de monumento –
dignidade já ela tem porque todos lho atribuem – apenas lhe falta que o
Município faça o seu trabalho “de homologação”;
10.ª adesão da ADEP ao Dia dos Moinhos Abertos
sábado dia 9 de Abril:
A ADEP convida associados, amigos e população em geral para uma caminhada que se desdobrará em três percursos, a saber, 1.º.: do lugar do Pejão ao local
da primeira Mina - Mina da Paraduça e minas do Limoeiro, Carvalheiras e
Alto do Pejão (Pejão Velho) com regresso ao ponto de partida. Na paragem no Fojo haverá oportunidade para
conhecer um antigo moinho de cereais nas imediações; 2.º percurso: saída da Escola ou Capela
de Folgoso para visitar a
fábrica de moagem no Rio Arda e edifício de fabrico de papel/cartão com regresso à Capela; 3.º percurso: saída da Escola
EB2/3 para visita à antiga Mina de S. Domingos seguindo pela ex - via férrea
com regresso ao ponto de partida. Este ano (com visita a antigas minas e moinhos e forno comunitário) no Paraíso, Raiva e Rio Arda. Estes percursos são complementados por transporte colectivo, a partir do
Parque das Tílias onde o evento terá inicio pelas 9,00 e término pelas 13,30/14
horas.
ADEP: Plano de Actividades para 2016
Do documento transcrevemos " 3 – PR – Várzea/Rio Paiva - Natureza
No Vale do Rio Paiva (classificado pela CE como SIC
sítio de importância comunitária da Rede Natura 2000), no sitio de Várzea/Melo
estamos apostados em iniciativa conjunta, com SOS Rio Paiva, Junta de
Freguesia de Sobrado e Bairros e Câmara Municipal para implementar um circuito
pedestre e divulgá-lo como alternativa Paiva/Natureza aos destinos
hoje em voga e muito conhecidos e procurados - os passadiços em Arouca."
Vai ser presente à próxima
Assembleia Geral a ter lugar a 19 de Março, onde será discutido e votado.
quarta-feira, 9 de março de 2016
Plano de Actividades para 2016
ADEP –
Castelo de Paiva
Anunciamos o propósito de
trabalhar e estudar o melhor enquadramento a dar a um projecto que seja
candidatável a financiamento europeu -em
parceria com outras entidades públicas e privadas- que valorize o património do
território que nos caracteriza (minas e espólio mineiro, património
construído e história natural (fósseis), paisagem ambiente e turismo do Douro
(barcos rabelos e rabões ) e Paiva (roteiro natureza), apoiando a inclusão
social (com a valorização das artes tradicionais e urbanas), tendo em conta os nossos espaços/instalações,
valências e projectos que temos defendido.
A - Parque das Tílias
“Vida no Parque, Viva o Parque”
1. Protocolo para utilização pública do Parque das Tílias
A utilização pública do Parque exige a garantia solidária por parte das instituições públicas, também interessadas na sua manutenção, ao nível da limpeza dos espaços e dos W.C. , regas e podas. Um protocolo ou parceria continua, pensamos, a ser a forma para conseguir o objectivo: servir os interesses da associação, a população local e quem nos visita, valorizando o Parque, ao nível das estruturas e equipamentos, proporcionando asseio e bem estar, com segurança e sem vandalismo.
2. Animação
As nossas valências estão também, disponíveis para parcerias com instituições que tenham projectos de recreio e formação para crianças, jovens e adultos. Também os espaços aráveis e arborizados continuarão disponíveis para actividades etnográficas, rurais e agrícolas, viveiro e jardinagem. Dos associados, voluntários e amigos aceitamos contributos e colaboração para montar oficinas e desenvolver acções e projectos.
As nossas valências estão também, disponíveis para parcerias com instituições que tenham projectos de recreio e formação para crianças, jovens e adultos. Também os espaços aráveis e arborizados continuarão disponíveis para actividades etnográficas, rurais e agrícolas, viveiro e jardinagem. Dos associados, voluntários e amigos aceitamos contributos e colaboração para montar oficinas e desenvolver acções e projectos.
B - Instalações, Barco/1.ªs Artes e Casa dos Engenhos
1 – 2.ªCandidatura à ADRIMAG (restauro do barco rabelo) no âmbito do Museu Etnográfico.
Uma candidatura que reforce e amplie as nossas condições estruturais, não deve comprometer o sonho de ver um dia, todo o conjunto da antiga Frutuária , poder ser afecto a fins culturais. Essa candidatura passará também por fases de trabalhos de recuperação e restauro e conservação dos espólios existentes. É o caso ainda da recuperação e restauro da instalação no exterior: o barco rabelo “Douro Paiva” e passadiço circundante.
2. Divulgação e Intercâmbio – Museu Primeiras Artes e Casa dos Engenhos “Dr. Justino Strecht Ribeiro”
Alguns esforços continuarão a ser feitos no sentido da necessária divulgação à população, aos paivenses em geral, aos alunos das nossas escolas e aos turistas.
3. Obras e equipamentos
Continuaremos a trabalhar para dotar a associação de mais e melhores espaços aptos para a realização de eventos diversos, máxime o seu estatuto. Ainda aguardamos do Município e Estradas de Portugal o cumprimento das compensações devidas pela ocupação das parcelas de terreno de Parque. A escritura de transmissão da propriedade ainda não foi feito.
4. Os limites do Parque
Continuamos a defender a ideia de um grande Parque das Tílias ampliado aos terrenos contíguos designadamente a uma parte da antiga Quinta da Bafareira e os terrenos que descem até ao Vale de Alvarigos e Rio Sardoura.
C - SECÇÕES E COMISSÕES
DE TRABALHO
1 - Secção etnográfica e Ajuntada/Grupo do Linho de Real
Mantem-se o propósito da recriação sempre que possível de actividades rurais e etnográficas, integrando e pondo a funcionar os nossos engenhos/moinhos (ciclos do centeio, milho e linho).
2. Feira do Séc. XIX – 2.º Domingo de Outubro
a) – Continuaremos a procurar dar toda a visibilidade à nossa gastronomia e aos nossos produtos agrícolas: vinho, pão de milho, linho e artesanato da região, tendo em conta o valor sócio - económico e de memória que podem representar para a população.
1 - Secção etnográfica e Ajuntada/Grupo do Linho de Real
Mantem-se o propósito da recriação sempre que possível de actividades rurais e etnográficas, integrando e pondo a funcionar os nossos engenhos/moinhos (ciclos do centeio, milho e linho).
2. Feira do Séc. XIX – 2.º Domingo de Outubro
a) – Continuaremos a procurar dar toda a visibilidade à nossa gastronomia e aos nossos produtos agrícolas: vinho, pão de milho, linho e artesanato da região, tendo em conta o valor sócio - económico e de memória que podem representar para a população.
Tem sido discutida e aceite a necessidade de
introduzir outro nível de animação que
caracterize e descreva a época com mais realismo recorrendo à representação de cenas do quotidiano e à presença de figuras
típicas.
3 - Internet, vídeo, secção editorial,
Biblioteca “Manuel Afonso do Silva” e Arquivo Fotográfico “Luís Lousada Soares”
Procuramos apoios para a instalação de meios e tecnologias de informação para divulgar estes espólios e avançar com edições: a) calendário anual de parede; b) nova colecção de postais ilustrados; c) memória sobre o caminho de ferro das Minas do Pejão, de autoria de Mário Gonçalves Pereira; d)memória histórica da freguesia de Real de autoria de Domingos Quintas Moreira; d) vídeo realçando aspectos históricos e etnográfico da nossa terra, eventualmente grupando pequenos trabalhos já realizados; e) reactivar o concurso documental etnográfico cujo regulamento aprovado em 2009, foi suspenso por falta de parceiros; f) brochura ilustrativa dos nossos engenhos e lagares, três deles já instalados no nosso parque, como forma de explicar a história, o funcionamento e as vantagens que tais engrenagens tinham para a economia agrícola da região; g) obra do Arquiteto Filgueiras “Rabões da Esquadra Negra”; h) espaço para acesso à internet destinado aos associados e utilizadores mais velhos; i) publicação com o Parque Biológico de Gaia de uma brochura sobre as plantas aromáticas e medicinais e sua utilização tradicional; j) a proposta do Eng.º Mário Gonçalves de reunir anualmente os Mineiros e de proporcionar assim além de um convívio salutar uma oportunidade de recolha de testemunhos.
Procuramos apoios para a instalação de meios e tecnologias de informação para divulgar estes espólios e avançar com edições: a) calendário anual de parede; b) nova colecção de postais ilustrados; c) memória sobre o caminho de ferro das Minas do Pejão, de autoria de Mário Gonçalves Pereira; d)memória histórica da freguesia de Real de autoria de Domingos Quintas Moreira; d) vídeo realçando aspectos históricos e etnográfico da nossa terra, eventualmente grupando pequenos trabalhos já realizados; e) reactivar o concurso documental etnográfico cujo regulamento aprovado em 2009, foi suspenso por falta de parceiros; f) brochura ilustrativa dos nossos engenhos e lagares, três deles já instalados no nosso parque, como forma de explicar a história, o funcionamento e as vantagens que tais engrenagens tinham para a economia agrícola da região; g) obra do Arquiteto Filgueiras “Rabões da Esquadra Negra”; h) espaço para acesso à internet destinado aos associados e utilizadores mais velhos; i) publicação com o Parque Biológico de Gaia de uma brochura sobre as plantas aromáticas e medicinais e sua utilização tradicional; j) a proposta do Eng.º Mário Gonçalves de reunir anualmente os Mineiros e de proporcionar assim além de um convívio salutar uma oportunidade de recolha de testemunhos.
D - “encontros com …a história”
património cultural e natural
1 - Monumentos e arqueologia.
a) – PONTE CENTENÁRIA DE PEDORIDO E OUTROS - continuaremos a defender a integridade e o respeito, bem como o estudo valorização e divulgação dos nossos sítios, paisagens e monumentos, lamentando o abandono a que alguns têm sido votados e os dinheiros gastos com “obras de arte” a que vulgar e impropriamente também chamam monumentos. É necessário efectuar novas diligências no sentido de se conseguir o estudo e protecção do forno telheiro no lugar do Moinho - Real. Caso avancem obras de alargamento da estrada de acesso a Corvite – junto à “presas de sapos” – é necessário acautelar os vestígios “de forno crematório/telheiro? aí existente. Propomos a identificação e protecção de mamoas em vários locais com boa acessibilidade.
b) – MUSEU ETNOGRÁFICO / FRUTUÁRIA - “Casa dos Engenhos Dr. Justino Strecht Ribeiro e Primeiras Artes – Os próximos passos serão ao nível de conteúdos e de pequenas tarefas de higienização e conservação do espólio presente. Pretende-se também avançar para a finalização do espaço “casa rural”. A necessidade de divulgação e funcionamento do espaço continua a ser objecto de estudo.
c) – PIAS DOS MOUROS – continuamos a insistir na necessidade de reclassificar alguns sítios. Insistir na sinalização, estudo protecção e divulgação de outros. Mantemos disponibilidade para colaborar com União de Freguesias de Sobrado e Bairros e Câmara Municipal na construção de uma zona de protecção e de interpretação às Pias dos Mouros (à imagem do que se fizemos em Carvalho Mau em 2011 e no Marmoiral nos anos 90).
d) – PEDRAS DA SIRGA - propomos a classificação de algumas pedras/fragas marginais
ao Douro com sulcos da sirga (corda/arame de puxar os barcos) com que
homens e bois puxavam os barcos rabelos .
e) - MAMOA
DE CARVALHO MAU - efectuada que foi
a intervenção já em 2011 continuaremos a insistir com a Câmara Municipal para
que seja assinado o protocolo proposto,
para que sejam finalmente definidas as
atribuições e competências no que
respeita a limpeza, vigilância e
manutenção da sinalética; bem assim seja concluído o processo junto da DGPC
que autorizou a intervenção.
f) – SALA DA ARQUEOLOGIA - Continuaremos a inventariar e divulgar todos os valores arqueológicos significativos do concelho, contestando o facto de o concelho ainda não dispor de Museu capaz de albergar o imenso espólio recolhido que tem estado depositado, algum na ADEP, outro em museus de concelhos vizinhos e casas particulares. Organizar uma sala com o nosso espólio arqueológico é um sonho antigo e um objectivo necessário, tendo em conta o trabalho que vem sendo desenvolvido na área da arqueologia, desde 1980. Gorada que foi a nossa proposta de que tal espaço fosse criado no edifício da Cadeia com a parceria da Câmara Municipal a montagem de exposição permanente com fotos e textos temáticos integrando peças de cerâmica e espólio variado que temos em nosso poder - com conhecimento da DGPC - , urge avançar ; Há muito espólio disperso que pode e deve integrar esse espaço. Temos material capaz de integrar a exposição proveniente de todas as atuais freguesias do concelho.
f) – SALA DA ARQUEOLOGIA - Continuaremos a inventariar e divulgar todos os valores arqueológicos significativos do concelho, contestando o facto de o concelho ainda não dispor de Museu capaz de albergar o imenso espólio recolhido que tem estado depositado, algum na ADEP, outro em museus de concelhos vizinhos e casas particulares. Organizar uma sala com o nosso espólio arqueológico é um sonho antigo e um objectivo necessário, tendo em conta o trabalho que vem sendo desenvolvido na área da arqueologia, desde 1980. Gorada que foi a nossa proposta de que tal espaço fosse criado no edifício da Cadeia com a parceria da Câmara Municipal a montagem de exposição permanente com fotos e textos temáticos integrando peças de cerâmica e espólio variado que temos em nosso poder - com conhecimento da DGPC - , urge avançar ; Há muito espólio disperso que pode e deve integrar esse espaço. Temos material capaz de integrar a exposição proveniente de todas as atuais freguesias do concelho.
2 – Dia dos Moinhos abertos e outros
Continuamos
abertos à realização de diversas iniciativas
que podem estar associadas a movimentos/iniciativas nacionais e/ou internacionais, para dar
visibilidade aos nossos valores do património cultural/natural, sensibilizar e alertar para as boas práticas
a adoptar nas politicas de promoção cultural (lembramos o Dia dos Moinhos, dos
Museus abertos à noite; dos Monumentos e sítios, da Floresta, da Água, do
Ambiente , (organizando palestras, caminhadas, convívios, visitas guiadas,
tomadas de posição, denúncias públicas, etc.).
3 – PR – Várzea/Rio Paiva - Natureza
No Vale
do Rio Paiva (classificado pela CE como SIC sítio de importância comunitária da
Rede Natura 2000), no sitio de Várzea/Melo estamos apostados em iniciativa conjunta, com SOS Rio Paiva,
Junta de Freguesia de Sobrado e Bairros e Câmara Municipal para implementar um
circuito pedestre e divulgá-lo como alternativa Paiva/Natureza aos destinos
hoje em voga e muito conhecidos e procurados - os passadiços em Arouca.
4 – ETAR’S – Estações de Tratamento de Águas residuais e descargas a céu aberto
Desejamos
que a breve trecho deixe de haver tantas
situações de poluição e autêntica calamidade pública, que temos
denunciado, com esgotos a céu aberto, para a via pública e a esmo pelos nossos
montes e vales, quando estão construídas e
inactivas 3 ETAR´S. Igualmente consideramos urgente encontrar soluções para
os restantes locais não servidos por estas ETAR´S designadamente as descargas
na Bafareira e junto ao cemitério de Sobrado.
5 – Património edificado ligado à família de Santo António
5 – Património edificado ligado à família de Santo António
Trabalhar
na sensibilização e denúncia de situações
no sentido de contribuir para
inverter a degradação e abandono em que se encontram valores patrimoniais e de memória ligados à
família de Santo António, como a Casa da Boavista, das Pias do Mouros, Portal
da Serrada, Casa da Torre de Vegide e Gondim.
6 - Amianto
Continuar
a denuncia e trabalhar para inverter a
situação que lamentamos:
a)
de não haver uma lista
oficial dos locais onde exista amianto ;
b)
De na Barragem de Crestuma - Lever ainda não haver um sistema
funcional para a travessia de peixes
migradores, como a lampreia e o sável.
7- Paleontologia
e Geologia
Esta área é um recurso
que não devemos desprezar considerada a possibilidade do território do concelho
vir no futuro próximo a integrar a área de intervenção do Geoparque/Arouca
a) – Continuamos
a trabalhar na inventariação de locais de antigas minas de Exploração Mineral,
que iniciamos em 2012 com a orientação d e Investigador e Professor da FCUP; Alguns locais necessitam de sinalização e informação, outros sítios necessitam de
colocação de protecções às pessoas e animais.
b) - Pretendemos dar mais divulgação aos fósseis do Couto Mineiro do Pejão onde
se incluem os que nos foram doados por António Patrão e que estão já
classificados por Mestre da FCUP, alguns assinalados de muitos raros; admitindo
a perspectiva de receber e expor mais exemplares urge reorganizar espaços e
proceder a pequenos melhoramentos nas instalações.
E - Comemorações
Para 2017 como já tínhamos proposto para 2013 defendemos uma maior envolvência e participação das pessoas, escolas e instituições num evento que comemore dignamente os 500 anos da entrega do Foral em Villar de Nojões a 6 de Maio de 1517. Este ano alguns passos devem ser dados nesse sentido.
F - Artesanato e Artes tradicionais
Continua disponível para cedência mediante acordo o nosso pavilhão, sito na Av. General Humberto Delgado.
G - Recolha numismática
Em discussão a forma de expor todo o espólio numismático d’O Escudo”, depois de inventariado, de que foi primeiro impulsionador nosso sócio honorário Manuel Afonso da Silva (Afonso da Gráfica).
Para 2017 como já tínhamos proposto para 2013 defendemos uma maior envolvência e participação das pessoas, escolas e instituições num evento que comemore dignamente os 500 anos da entrega do Foral em Villar de Nojões a 6 de Maio de 1517. Este ano alguns passos devem ser dados nesse sentido.
F - Artesanato e Artes tradicionais
Continua disponível para cedência mediante acordo o nosso pavilhão, sito na Av. General Humberto Delgado.
G - Recolha numismática
Em discussão a forma de expor todo o espólio numismático d’O Escudo”, depois de inventariado, de que foi primeiro impulsionador nosso sócio honorário Manuel Afonso da Silva (Afonso da Gráfica).
H - Tempos Livres e Formação
Profissional
Continuamos disponíveis para realização de acções de formação e tempos livres, como temos vindo a fazer dando prioridade a programas de parceria e intercâmbio com outras instituições.
Continuamos disponíveis para realização de acções de formação e tempos livres, como temos vindo a fazer dando prioridade a programas de parceria e intercâmbio com outras instituições.
I – Associados
Tem
sido discutida a necessidade de um novo impulso de abordagem/contacto com os
associados com vista à regularização das quotas e convite à participação mais
activa nas iniciativas.
-A ADEP foi recentemente
considerada pela administração fiscal como entidade elegível para receber, a
partir do próximo ano de 2017 inclusive, donativos em sede de consignação de
0,5% do IRS, o que está regulamentado pela Lei 16/2001 (artigo 32 nº4 e 6). O
valor calculado é retirado do imposto que deveria ficar para o Estado Assim se deverão dar alguns passos que divulguem e
promovam junto dos associados, amigos e
colaboradores a possibilidade de em 2017 proceder à consignação para a ADEP de 0,5% do IRS, que dizendo
respeito aos rendimentos de 2016, terá
de ser activada quando da entrega da declaração de IRS em 2017.
Aprovado em reunião de Direcção de 11.o1.2016. Vai ser presente à próxima Assembleia Geral a ter lugar a 19 de Março, onde será discutido e votado.
terça-feira, 8 de março de 2016
10.ª adesão ao Dia Internacional de Moinhos Abertos !
Castelo de Paiva, Rio Arda (Moinhos e Minas)
O dia 7 quinta - feira estará igualmente aberto e é especialmente destinado
às Escolas e Instituições. Ambos os dias estão sujeitos a inscrição prévia junto da ADEP através do email adeppaiva@gmail.com ou facebook
No sábado dia 9 de Abril terá lugar:
uma caminhada que se desdobrará em três
percursos, todos por estradas
municipais e caminhos, a saber: 1.º
percurso: do lugar do Pejão ao local da primeira Mina - Mina da
Paraduça e minas do Limoeiro,
Carvalheiras e Alto do Pejão (Pejão Velho) com regresso ao ponto de
partida. Na paragem no Fojo haverá
oportunidade para conhecer um antigo moinho de cereais nas imediações; 2.º percurso: saída da Capela de
Folgoso para visitar a fábrica de moagem
no Rio Arda e edifício de fabrico de papel/cartão com regresso à Capela; 3.º percurso: saída da Escola EB2/3
para visita à antiga Mina de S. Domingos seguindo pela ex - via férrea com
regresso ao ponto de partida.
Contamos que estes percursos, destinados
aos nossos associados, amigos, colaboradores e população em geral são complementados por transporte coletivo, a
partir do Parque das Tílias onde o evento terá inicio pelas 9,00 e término
pelas 13,30/14 horas.
A participação em qualquer dos dias é gratuita. Os participantes deverão cumprir com as habituais regras de boa colaboração, seja no cumprimento das regras establecidas pelo guia, seja nas orientações dadas pela organização, designadamente no que respeita a cumprimento de horários, utilização de indumentária adequada e provisionamente de água e lanche.
edificio arruinado da Fábrica de papel da Balsa - Sardoura
edificio arruinado da Fábrica de papel da Balsa - Sardoura
quinta-feira, 3 de março de 2016
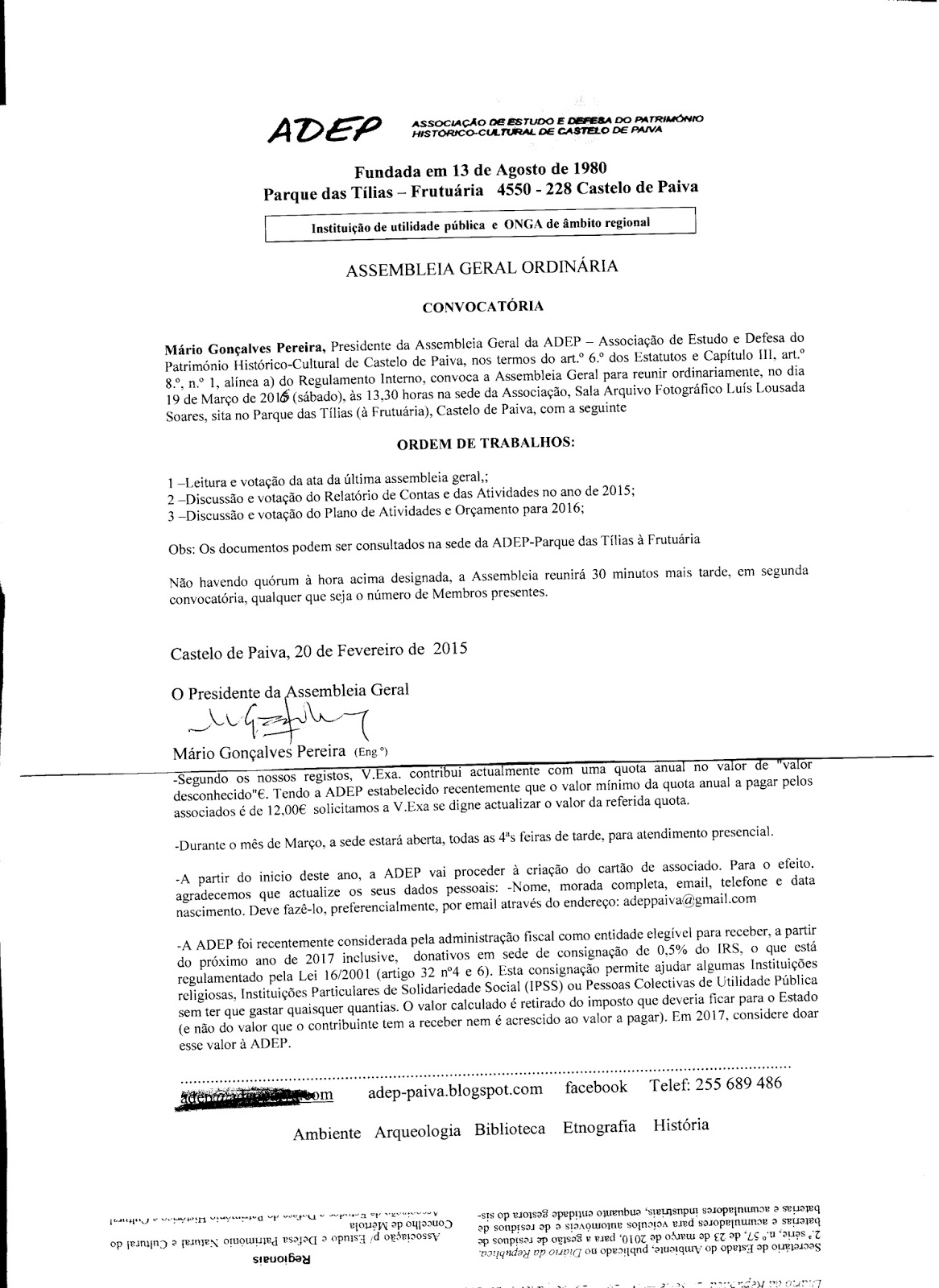
terça-feira, 1 de março de 2016
a palavra e a atitude aos associados!
Está convocada a reunião magna dos associados para discutir e aprovar as contas e relatório das actividades do ano passado e bem assim o orçamento e Plano de Actividades para 2016.
Da convocatória consta ainda um apelo aos associados para colaborem no sentido de actualizarem o ficheiro e a quota, designadamente aos associados que tenham uma quota antiga/inferior a 12,00€ anual.
Às quartas-feiras de tarde os associados poderão passar pela sede, proceder ao solicitado e aproveitar para consultar os documentos que vão estar presentes na sessão da assembleia que terá lugar a 19 de Março - sábado.
Subscrever:
Mensagens (Atom)














